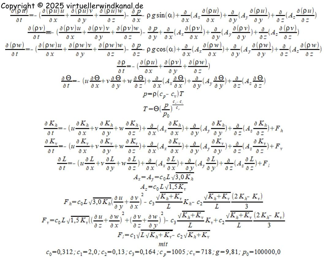
Hintergrund
Die Lösung eines Problems setzt immer voraus, dass eine Motivation dazu antreibt, mit den passenden Werkzeugen eine Lösung zu finden. Als Naturwissenschaftler weiss ich, welche Rolle Prinzipien in unserer Welt spielen. Hier sind es schlicht die Erhaltungssätze der Mechanik für Masse, Impuls und Energie. Nach theoretischer Herleitung der Gleichungssätze benötigt man dann Werkzeuge wie Computer inkl. zugehöriger Entwicklungswerkzeuge, um mit Hilfe von Experimenten mit einem virtuellen Windkanal sich der Realität zu nähern.
Zielsetzung ist es dann, mit Hilfe von Experimenten das Flugverhalten eines Modellflugzeugs so zu studieren, dass beginnend mit dem Geradeausflug über den Landeanflug bis hin zum Rücken- und Messerflug das Wechselspiel von Motorschub, Luftwiderstand, Auftrieb und Drehmomente inkl. der Ruderwirkungen für ein gegebenes Modellflugzeug ermittelt werden. Unterstützt wird dies durch eine Steuerung über eine grafische Oberfläche.
